Despite the progress made in child survival in sub-Saharan Africa, there is a gap between the richest and poorest households, and between rural and urban areas. Under-five mortality among children in poorest households and rural areas is almost twice that of the richest and urban households1. The rural-urban inequalities in child survival have often been explained by maternal education, household socioeconomic status and access to healthcare services2-4. Mothers who have at least a secondary education are more likely to be aware of and adopt modern childcare practices that promote child health and survival. Also, they have higher chances of securing better employment and are thus able to garner financial resources to cater for their children's welfare and healthcare needs5.
Due to increasing urbanization, some studies have investigated intra-urban inequalities in child survival6,7. This is premised on emerging evidence concerning the gap in under-five mortality between poor and rich households in urban areas7. In contrast, the dynamics of childhood mortality in rural areas have been less researched despite the fact that traditional norms about household childcare practices are likely to be stronger in rural areas, especially in sub-Saharan Africa. For example, some qualitative studies among under-five mothers revealed that even though the women were knowledgable about nutrition and other child healthcare practices, many of them could not put the knowledge into practice due to socio-cultural constraints8,9.
The household is the basic unit for production, consumption and caregiving for children and adults. It provides the social and physical environment in which children are born, nurtured and brought up. The characteristics of a household are therefore critical for the health and wellbeing of children10.
In the demographic literature, household characteristics are usually described in terms of age and sex of household head, relationship structure (single adults, nuclear or extended) and household size11. Of these, sex of household head and relationship structure have been shown to affect child health outcomes12,13. The scant evidence on their influence in sub-Saharan Africa is, however, mixed. For instance, one study suggests that children in female-headed households (FHHs) experience greater mortality10 while another found otherwise14. Another twist to the argument is the evidence on changes in the household structure in sub-Saharan Africa, which shows an increase in FHHs with declining household size11. More than half of the population in sub-Saharan Africa live in rural areas and fertility rates are much higher15. Unhealthy socio-cultural childcare practices are common: an example is the belief that delivery assistance should be provided by traditional birth attendants who understand the ancestral norms guiding care of newborns; some also prefer that childhood illnesses be treated by traditional methods16,17. Aside from these unfavorable social environments, access to timely medical treatment of childhood illnesses is limited18. In view of these dynamics and a paucity of nationally representative studies of childhood mortality in rural sub-Saharan Africa, this study aimed to investigate the influence of household structure on childhood mortality in the setting.
Childhood mortality in rural sub-Saharan Africa
Empirical evidence on rural childhood mortality in the sub-region can be attributed to two main sources: local community-based studies, and health and demographic surveillance systems (HDSS). A community survey in rural Northern Ghana with women as the unit of analysis found that those in monogamous unions and with secondary education were less likely to experience child death19. A 2-year community cohort study in rural Uganda reported young maternal age and home delivery as risk factors for under-five mortality20. Another population-based cohort study in rural south-western Uganda found a higher mortality risk among HIV-infected children21 and reduced risk among children with preceding birth intervals between 24 and 36 months22. In Guinea Bisau, Fazzio et al. reported ethnicity, polygyny and distance to health facility as the predictors of child mortality23. Apart from adjusting for maternal demographic variables (age, marital status and education), none of these studies investigated the roles of household characteristics such as headship and household structure. In addition, the generalizability of these studies is further limited by their confinement to small local communities.
Perhaps, due to their locations, HDSSs have contributed the largest share of the evidence on childhood mortality in rural sub-Saharan Africa. There have been findings from Malawi24,25, Burkina Faso26,27, Tanzania28,29, South Africa30 and Ghana31. While many of these studies shared similarities in terms of the effects of bio-demographic variables and distance to health facilities on childhood mortality, a few of them provided additional information. For instance, Schoeps et al. found no association between household wealth and infant mortality in the rural areas but the reverse was the case in semi-urban Burkina Faso communities27. Maternal HIV positivity and death were found to increase the likelihood of a child's death in rural South Africa30 and Tanzania29. These HDSS-based studies rarely investigated the effect of household structure on childhood mortality. This apparent ommission therefore constitutes a gap in knowledge as far as child survival dynamics in rural areas is concerned.
A study based on Kenya demographic and health survey (DHS) data revealed that household poverty was associated with under-five mortality in rural settings32. However, household structure was not included in the analyses.
Many of the previous studies controlled for such determinants of child mortality as maternal education, household wealth and maternal age at birth. Although household family structure may be proxied by these determinants, evidence from other studies on malnutrition and vaccination suggests that household family structure can have independent influence on child health outcomes33,34.
Household structure and childhood mortality
Studies that directly investigated the relationship between household structure and child survival in sub-Saharan Africa are few. Doctor analysed the Nigeria 2008 DHS data for rural women and reported that, despite adjustment for confounders, women in FHHs were less likely to experience child death14. Similar results had earlier been found among Nepalese women35. In contrast, a multi-country DHS-based study found no association between FHHs and infant mortality36. Although the latter study further showed that the relationship between sex of household head and child survival varied across countries, the results were not specific to rural areas.
Some other studies have explored the effect of single motherhood and polygyny versus monogamy on child survival. Children of single mothers were found to have higher mortality risks but the effects were largely explained by education, socioeconomic status and other variables37-39. Polygyny exhibited a similar relationship such that its effect was also usually attributed to socioeconomic status and education39,40. This was because most women who are wives of men practicing polygyny have low education and belong to lower socioeconomic strata.
Due to the impact of HIV/AIDS on household livelihoods, some studies have explored the consequences of the loss of either or both parents on the survival and livelihood of children orphaned by the disease. An overwhelming fact in respect of this (especially before the wider coverage of antiretroviral treatment) is that single-headed households are increasing due to high adult mortality from HIV/AIDS41,42. One study in rural Zimbabwe clearly demonstrated that there are differences in care and education attainment between paternal and maternal orphans43. Maternal motivation and efforts to guarantee better livelihood made maternal orphans fare better than other types of orphans43. In such instances, children in FHHs are thus likely to enjoy better health than those in extended or male-headed households (MHHs). One limitation of this sort of evidence is the fact that it is mostly confined to southern Africa. Second, household living arrangements may change due to other social reasons (divorce/separation) and deaths from other causes apart from HIV/AIDS.
There is a need for more evidence on the relationship between household structure and childhood mortality in rural areas of sub-Saharan Africa. In the light of a decreasing trend in extended household family structures, and increase in FHHs11, this study goes beyond maternal marital relationship and investigates the household living arrangements of under-five children and how they affect their survival in rural areas of sub-Saharan Africa.
Conceptual framework
This study is based on a conceptual framework adapted from previous studies on household structure and childhood nutritional status and health care44-46. In the framework (Fig1), it is hypothesized that household structure influences child survival by operating through either socioeconomic status or health/fertility-related behavior. For instance, household socioeconomic status determines household living conditions, food intake and treatment-seeking behavior. The time available for a child's care is assumed to be affected by occupation of the mother. Use or non-use of appropriate maternal and child healthcare services has been shown to be a key determinant of child survival47,48. The presence of other household members may also positively affect caregiving for a child. Included were control variables that represent a woman's fertility behavior (age at child's birth, birth interval), which are also known to be closely associated with maternal education49.
Figure 1: Conceptual framework for the relationship between household structure and child survival.
Study countries
Eight countries with a DHS conducted not earlier than the year 2010 were selected, two from each sub-region in sub-Saharan Africa. Selection of countries was guided by two considerations: balance in sub-regional representation and fair representation of countries with wide and narrow rural-urban differences in childhood mortality. The selected countries were Tanzania and Rwanda (East Africa), Cameroon and Gabon (Central Africa), Nigeria and Burkina Faso (West Africa), and Namibia and Zambia (Southern Africa). Recent estimates of childhood mortality in these selected countries were extracted from respective country reports and summarized in Table 1. For urban areas, infant mortality ranged from 35 per 1000 live births (Namibia, 2013) to 63 per 1000 live births (Tanzania, 2010). Estimates for rural areas ranged from 46 per 1000 (Namibia, 2013) to 86 per 1000 (Nigeria, 2013). Rural-urban ratios were higher for child than infant mortality with Cameroon (2.22) and Nigeria (2.12) ranking highest.
Table 1: Rural and urban infant and child mortality in eight countries of sub-Saharan Africa

Data source
Original DHS data for the eight countries were retrieved from the Measure DHS online data archive after necessary approval for data use. The DHSs are routinely conducted once every 5 years using similar methodologies and instruments across several developing countries. The consistency of the survey method over time and across countries makes multi-country analysis possible. In the DHS program, household samples were drawn using a stratified two-stage cluster design. Clusters are usually census enumeration areas and are also treated as primary sampling units. Nationally representative households were selected in each country and all women aged 15-49 years in selected households were interviewed. Data were collected on diverse reproductive health topics including maternity history. The maternity history module collected data on all births. The variables included sex of the child, date of birth, current age if alive and age at death if not, birth order and preceding birth interval.
In this study, children recode files for each of the eight selected countries were used. The children recode files contain the maternity history of births within 5 years of the survey as well as other relevant characteristics of the women. The sample analysed was single live births in rural areas. The final sample sizes were 6306 (Tanzania), 7537 (Rwanda), 6722 (Cameroon), 2240 (Gabon), 20 449 (Nigeria), 11 350 (Burkina Faso), 2662 (Namibia) and 8200 (Zambia).
Description of variables
Outcome variables: Two outcome variables were used in this study to represent childhood mortality: infant and child mortality. Infant mortality was defined as the probability of death between birth and the 11th month. Child mortality was defined as the probability of death between the first and fifth birthday. Infant mortality was modelled as the duration of survival from birth till the 11th month while child mortality was modelled as survival from 12 to 59 months among children who survived infancy. For children who were alive, their survival time was right censored at their current age (months) at the time of survey. The survival time for dead children was their age at death in months.
Explanatory variables: There were two key explanatory variables: sex of household head (male or female) and household structure, which had the categories of 'single mother', 'nuclear' and 'extended'. Nuclear family households are those comprising the children, their mother and spouse while extended family households include other adults, who may be other spouses, relatives and/or non-relatives.
Other control variables include maternal characteristics that the literature have shown to be associated with childhood mortality. These include household wealth index, maternal education, maternal age at child's birth, maternal occupation and birth interval.
Statistical analysis
Frequency and percentage distributions were presented for each country and disaggregated by the explanatory variables. Kaplan-Meier estimates of infant and child mortality rates were derived according to type of household headship and family structure. To explore the relationship between the outcome and explanatory variables, the Cox proportional hazard regression model was fitted for each country in two stages. At the first stage, univariate models were fitted using household characteristics (household headship, household structure and wealth quintile). The second stage included all explanatory variables with a view to ascertain their independent association with infant and child mortality. Measures of effect were hazard ratio (HR) with 95% confidence interval (CI). Methods of meta-analysis was used to combine the effect of female household headship and extended versus nuclear household on the outcome variables. This resulted in a pooled HR, which summarized the effect across all countries. Sampling weights were applied during analysis and robust standard errors were obtained to adjust for the complex sample design of the DHS. Stata SE v12.0 (StataCorp; http://www.stata.com) was used for analysis.
The Cox proportional hazard regression model
The probability of childhood death is regarded as the hazard and it was modelled using the following equation:
Where x1 to xk are a collection of explanatory variables and h0(t) is the baseline hazard at time t, representing the hazard for a person with zero values for all the explanatory variables. Thus the dependent variable in the model is the log HR. The coefficients bi to bk, which represent the effect of each explanatory variable, are estimated in the process of modelling.
Ethics approval
This study was based on analysis of anonymous secondary data from the DHS in selected countries. Ethical approval for the survey was granted by the National Ethics Committee of the respective countries. Permission to use the datasets of the selected countries for this study was obtained from Measure DHS, the custodian of the online DHS data archive.
Household and maternal characteristics
Distribution of household headship shows that 16.1% and 19.0% of children in Tanzania and Rwanda live in households headed by females (Table 2). The commonest household structure in both countries was nuclear (Tanzania, 48.2%; Rwanda, 63.4%) but extended family household was more prevalent in Tanzania (46.9%) than in Rwanda (27.4%). About half of the children lived in households that belonged to the poor wealth quintile. Concerning maternal education, 74.0% and 63.0% of children in Rwanda and Tanzania respectively belonged to mothers who had primary level education while very few attained secondary/higher education. The majority of the women (Tanzania, 74.3%; Rwanda, 83.7%) were in an agriculture-related occupation. The preceding birth interval is also similar between the two East African countries with about 18% of children being born within 24 months after a previous birth.
In the Central African countries, the proportion of children in FHHs in Gabon (28.2%) were almost twice that of Cameroon (14.6%) but the household type was very similar in the two countries, with more than half living in extended households. Almost all children in rural Gabon (90.1%) were living in poor households compared to 72.5% in Cameroon. More children in Cameroon (34.1%) than in Gabon (5.6%) belonged to women who had no formal education while the proportion whose mothers had secondary or higher education was greater in Gabon (40.2%) than in Cameroon (19.6%). The percentage of children whose mothers were not working was 20.6% and 48.7% in Cameroon and Gabon respectively but more women in Cameroon were involved in agriculture.
Under-five children in rural Nigeria and Burkina Faso (West Africa) had similarities across many of the selected household and maternal characteristics. For instance, less than 10% of the children lived in FHHs (Nigeria, 8.8%; Burkina Faso, 5.2%). Extended family structure was however slightly more prevalent in Burkina Faso (59.1%) than in Nigeria (52.9%). Household wealth quintile in the two West African countries had different distributions. The percentage of rural Nigerian children who lived in poor households was 63.1% compared to 49.3% in Burkina Faso while 15.8% (Nigeria) and 25.1% (Burkina Faso) live in rich households. Of the two countries, Nigeria had a better educational profile as 20.9% of children had mothers with secondary/higher education, unlike Burkina Faso with 1.8%. About one-third of Nigerian under-five mothers were not working (32.1%) compared to 14.7% in Burkina Faso. In contrast, 62% of children in Burkina Faso had mothers whose occupation was agriculture, compared to only 14.9% in Nigeria.
The two Southern African countries (Namibia and Zambia) showed sharp contrasts in terms of some variables under consideration. While almost half of children in Namibia (49.1%) were from FHHs, the percentage in Zambia was 18.5%. Nuclear family households were more numerous in Zambia (54.3%) than in Namibia (28.3%) but the reverse was the case for extended family households (Namibia, 59.9%; Zambia, 38.7%). The distribution of the household wealth quintile was somewhat similar as 22.0% and 21.6% of children in Namibia and Zambia respectively lived in households in the middle wealth quintile. A greater percentage of children in Namibia (59.0%) had mothers with secondary/higher education, unlike Zambia (20.9%). Maternal age at child's birth was similarly distributed in the two countries.
Table 2: Household structure and maternal characteristics of rural under-five children in eight countries of sub-Saharan Africa

Infant and child mortality levels
Figures 2 and 3 show the levels of infant and child mortality according to sex of household head and household structure respectively. Rural infant mortality in MHHs ranged from 36 per 1000 live births in Zambia to 68 per 1000 in Nigeria (Fig2a). Infant mortality level in FHHs was higher than in MHHs in Burkina Faso (74 vs 58 per 1000) and Zambia (49 per 1000 vs 36 per 1000) while the reverse was the case in other countries. Figure 2b shows that child mortality rates were higher for MHHs in three countries: Cameroon (79 per 1000), Nigeria (61 per 1000) and Burkina Faso (58 per 1000).
Figure 3a shows that infant mortality rate was consistently lowest for single adult households in all countries except Burkina Faso and Zambia, where the rates were almost at par with nuclear family households. In terms of household structure, the pattern varied across all the countries (Fig3b). The highest rates were observed for extended households in Cameroon (76 per 1000), Nigeria (67 per 1000) and Burkina Faso (63 per 1000).

Figure 2: Rural infant (A) and child (B) mortality rates according to sex of household head in eight countries of sub-Saharan Africa.

Figure 3: Rural infant (A) and child (B) mortality rates according to household structure in eight countries of sub-Saharan Africa.
Relationships between household, maternal characteristics and childhood mortality
Univariate models: Table 3 shows the unadjusted (univariate) HRs of the relationship between household characteristics and childhood mortality in rural sub-Saharan Africa. The HR of female household headship was greater than 1.00 in Tanzania (HR=1.08, 95%CI: 0.74-1.58), Burkina Faso (HR=1.27, 95%CI: 0.91-1.76) and Zambia (HR=1.36, 95%CI: 1.00-1.85). Extended household family structure was found to constitute higher risk for infant mortality in Tanzania (HR=1.14, 95%CI: 0.86-1.52), Cameroon (HR=1.11, 95%CI: 0.86-1.43), Burkina Faso (HR=1.11, 95%CI: 0.94-1.33), and Zambia (HR=1.15, 95%CI: 0.88-1.49). The second panel in Table 3 presents the effect of household characteristics on child mortality. FHHs were found to be a risk in Tanzania, Rwanda, Gabon, and Zambia, although not statistically significant. Children from extended family households were found to have a higher likelihood of death in Nigeria (HR=1.23, 95%CI: 1.03-1.46), Burkina Faso (HR=1.31, 95%CI:1.03-1.66) and Zambia (HR=1.55, 95%CI: 1.02-2.37).
Table 3: Univariate hazard ratios for relationships between childhood mortality and household characteristics in eight countries of sub-Saharan Africa

Multivariate models: Results for the models fitted to describe the relationship between infant mortality and the explanatory variables are presented in Table 4. Children in FHHs had significantly higher risks of infant death in Burkina Faso (HR=1.64, 95%CI: 1.09-2.48) and Zambia (HR=1.49, 95%CI: 1.02-2.17). The risk was also higher in Tanzania, Gabon and Nigeria but did not attain statistical significance. Although household family structure was not significantly associated with infant death in any of the eight countries, infants in single-mother families enjoyed survival advantage compared to those in nuclear families in all countries except Rwanda. Middle and rich household wealth quintiles had a protective effect against infant deaths in all countries except Namibia and Zambia where rich wealth quintile was, surprisingly, a risk factor. Maternal secondary/higher education reduced the likelihood of infant death in all countries by a magnitude ranging from 60% in Gabon (HR=0.40, 95%CI: 0.13-1.20) to 10% in Zambia (HR=0.90, 95%CI: 0.58-1.40). Professional/managerial work (relative to those not working) was a risk factor for infant death in Gabon (HR=3.19, 95%CI: 1.18-8.66) and Namibia (HR=1.20, 95%CI: 0.54-2.63) while it was the reverse in other countries. Agricultural work was risky for infant survival only in Cameroon and Gabon. Infants born 36 months after a previous birth were found to have better survival chances in all the eight countries with the exception of Gabon.
Table 4: Multivariate hazard ratios for relationship between rural infant mortality and household characteristics in eight countries of sub-Saharan Africa

Multivariate models for child mortality: Table 5 presents the results for the relationship between child mortality, household characteristics and other control variables. Although not statistically significant, FHHs constitute risks for child deaths in five countries (Tanzania, Rwanda, Gabon, Nigeria and Zambia). Similarly, children in extended family households have higher chances of death between their first and fifth birthday in Tanzania (HR=1.55, 95%CI: 0.88-2.72), Cameroon (HR=1.17, 95%CI: 0.86-1.59), Nigeria (HR=1.16, 95%CI: 0.97-1.39), Burkina Faso (HR=1.33, 95%CI: 1.04-1.69) and Zambia (HR=1.59, 95%CI: 1.02-2.49). Again, across all eight countries, children who were from households in the rich wealth quintile were less likely to suffer mortality between the ages of 1 and 5 years. The effect of maternal occupation on child death varied from one country to another. For instance, while sales/clerical work was protective in Cameroon (HR=0.65, 95%CI: 0.34-0.90) and Burkina Faso (HR=0.52, 95%CI: 0.34-0.79), it was a risk in Nigeria (HR=1.25, 95%CI: 1.02-1.54) and Zambia (HR=1.17, 95%CI: 0.58-2.37). Also, manual work by the mother was risky for child survival in Tanzania, Rwanda, Gabon and Nigeria.
Table 5: Multivariate hazard ratios for relationship between rural child mortality and household characteristics in eight countries of sub-Saharan Africa

Pooled effects of female household headship and extended family structure
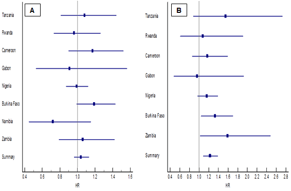
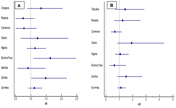
The adjusted HRs for the effect of the main independent variables (female household headship and extended households) were pooled using meta-analysis techniques. A random effect estimate of overall HR was subsequently obtained. The results (Fig4) show that FHH had no significant effect on infant mortality (HR=1.12, 95%CI: 0.92-1.37) and child mortality (HR=1.13, 95%CI: 0.85-1.13). During infancy, there was no difference in mortality between extended family and nuclear family households (Fig5). Finally, the pooled adjusted HR for extended versus nuclear structure showed that the former had a 23% higher risk of child mortality (HR=1.23, 95%CI: 1.09-1.39).
Figure 4: Forest plots of adjusted hazard ratios for effect of female household headship on rural infant (A) and childhood (B) mortality in eight countries of sub-Saharan Africa.
Figure 5: Forest plots of adjusted hazard ratios for effect of extended vs nuclear household structure on rural infant (A) and childhood (B) mortality in eight countries of sub-Saharan Africa.
Discussion
Findings from this study showed that FHHs are more common in rural Southern, East and Central Africa compared to West Africa. These results are in consonance with a previous study based on census data showing that FHHs were increasing11. The pattern probably reflects the demographic impact of HIV/AIDS on families. These countries are among those worst affected by the HIV/AIDS scourge in the continent50. Higher percentages of FHHs in these countries may also be related to educational attainment as the results showed that countries where a greater proportion of women had secondary/higher education also had a higher number of families with female household heads. This observation on female headship of households and women's education may constitute a frontier for further research, especially with regard to efforts and programs aimed at promoting female education and women's empowerment.
Nuclear family households were the most common in two countries (Rwanda and Zambia) while the other six countries had a higher percentage of extended households. Even though some recent studies have suggested trends towards household nucleation11,51, this study has shown that the pattern is different in rural areas. A higher percentage of extended family households in rural areas is not surprising because rural dwellers mostly live in clans with strong kinship systems52. It is believed that this arrangement enhances agricultural production and makes resources available to relatives who may have been disadvantaged if living alone.
Concerning household structure and childhood survival, this study shows that, generally, there was no significant relationship between female headship of household and childhood mortality. There was not much difference between infancy (0-11 months) and childhood (12-59 months) in the effect of female household headship. Some previous studies reported that children in FHHs have better survival chances13,14. A negative effect of female household headship on child health outcomes has often been explained to be a result of the poorer socioeconomic situation of such households53-55. Another plausible explanation is that, in sub-Saharan Africa, FHHs emerge mostly from death of the male head, who most often is the main source of income and sustenance56.
Furthermore, the results indicate that no significant effect of household structure (single, extended versus nuclear) was observed for infant mortality across all countries. The pattern for child mortality is slightly different, especially in Burkina Faso (West Africa) and Zambia (Southern Africa), where extended family households showed greater hazards of child death. Previous studies found extended family households to exert a favorable effect on child vaccination rates33,45 and argued that the reason for this is that extended households provide better social networks and resources for children's wellbeing. Although this argument may also be applicable to child survival, the present study's results show that such types of household demonstrated a greater risk of child mortality. The findings agreed with a report from a study in Ghana, which also found that children from extended family households had a higher risk of under-five mortality12. The mechanism by which rural extended family households increased child mortality is unclear; it is likely to be connected to poorer living conditions. Another possible link is childcare practices and utilization of modern healthcare services. Mothers of under-five children in extended family households may seek different unorthodox childcare practices based on cultural beliefs and subtle pressure from other members in the households52.
Across all selected countries, maternal characteristics such as education, household wealth quintile and other control variables explained some part of the effect of household characteristics (female headship and household type) on infant and child mortality. This was evident from the reduction in the HRs in multivariate models compared to univariate ones. This finding is consistent with previous studies in which these variables have often explained child survival differences in population subgroups19,39,57,58. Household wealth quintile had significant net effects in some countries (Cameroon, Gabon, Nigeria, Burkina Faso and Zambia) as the results show that children in middle and rich quintiles had a survival advantage over those who were poorer. These show that poor-rich inequalities also exist in rural settings. As efforts are made to reduce the rural-urban and poor-rich gap in child survival, attention should also be paid to intra-rural differences between rich and poor households.
Findings about differences between infant and child mortality in regards to the effect of household structure conform with existing knowledge in the child survival literature59,60. In the first year of life, fertility-related factors such as birth interval and parity have greater influence on child survival. During childhood, the mother's socioeconomic status and other household characteristics are important determinants of child health outcomes. During this period, a child would have been weaned from breastmilk and would depend on whatever the parent is able to provide. Children in poor families experience malnutrition, childhood illnesses and sometimes death. It is during the childhood period that children are more likely to be left in the care of extended family members and unfavorable outcomes are more likely due to inadequate care.
Study limitations
One limitation of this study is the cross-sectional design, which limited exploration of the pathway of influence of household characteristics on child survival. Second, the categories used for household relationship structure from which household type was derived did not permit exploration of the effect of inter-generational households. Evidence from Ghana, West Africa51 suggests that these are fast disappearing; however, the situtation is different in countries hit hard by HIV/AIDS, where grandparents have had to bear the burden of children who have lost either or both parents to the disease43,50.
For rural sub-Saharan Africa, this study has shown that children in FHHs do not have significantly higher childhood mortality. Second, there was no difference in infant survival between nuclear and extended family households but the latter constitute a higher risk for child mortality. Household wealth quintile and maternal occupation are associated with childhood mortality in rural settings. Further studies are needed in order to clearly understand the mechanism by which extended family households affect child health outcomes. Longitudinal data from surveillance systems may be useful but such data would need to include information on household/family changes or transitions. In addition, ethnographic studies on family livelihoods and children healthcare in rural sub-Sahara Africa have potential to provide deeper revelations on the latent factors that could clarify the associations found in this study.
Acknowledgements
The authors' appreciation goes to ICF Macro, USAID and DHS implementing agencies in the various countries. The authors are grateful for the Department of Higher Education and Training Grant of the Faculty of Humanities, University of the Witwatersrand, for the financial support to organize the writing retreat at which this manuscript was prepared.
Also, the support of the Department of Science and Technology-National Research Foundation Centre of Excellence in Human Development towards the research is hereby acknowledged. Opinions expressed and conclusions arrived at are those of the authors and not necessarily to be attributed to either the Centre of Excellence in Human Development or the National Research Foundation.
References
1. United Nations. The Millennium Development Goals report. New York: United Nations, 2015.
2. Bocquier P, Madise NJ, Zulu EM. Is there an urban advantage in child survival in Sub-Saharan Africa? Evidence from 18 countries in the 1990s. Demography 2011; 48: 531-558.
3. Sastry N. Urbanization, development and under-five mortality differentials by place of residence in Sap Paulo, Brazil, 1970-1991. Demographic Research Special Collection 2004; 2(14).
4. Van de Poel E, O'Donnell O, Van Doorslaer E. Are urban children really healthier? Evidence from 47 developing countries. Social Science and Medicine 2007; 65(10): 1986-2003.
5. Smith-Greenaway E. Maternal reading skills and child mortality in Nigeria: a reassessment of why education matters. Demography 2013; 50(5): 1551-1561.
6. Fotso JC. Child health inequities in developing countries: differences across urban and rural areas. International Journal of Equity in Health 2006; 5: 9.
7. Antai D, Moradi T. Urban area disadvantage and under-5 mortality in Nigeria: the effect of rapid urbanization. Environmental Health Perspectives 2010; 118(6): 877-883.
8. Mwangome M, Prentice A, Plugge E, Nweneka C. Determinants of appropriate child health and nutrition practices among women in rural Gambia. Journal of Population Health and Nutrtion 2010; 28(2): 167-172.
9. Adeyemi OA, Oyewole OE. How can we really improve childcare practices in Nigeria? Health Promotion International 2014; 29(2): 369-377.
10. Charmarbagwala R, Ranger M, Waddington H, White H. The determinants of child health and nutrition: a meta-analysis. Washington, DC: World Bank Group, 2004.
11. Ibisomi LDG, De Wet N. The dynamics of household structure in sub-Saharan Africa. In: CO Odimegwu, J Kekovole (Eds). Continuity and change in Sub-Saharan African demography. New York: Taylor & Francis, 2014.
12. Avogo W, Agadjanian V. Household structure and childhood mortality in Ghana: monitoring progress on the Millennium Development Goals. Arusha, Tanzania: African Population Conference, 2007.
13. Gupta AK, Bortkotoky K, Kumar A. Household headship and infant mortality in India: evaluating the determinants and differentials. International Journal of MCH and AIDS 2015; 3(1): 44-52.
14. Doctor HV. Does living in a female-headed household lower child mortality? The case of rural Nigeria. Rural and Remote Health (Internet) 2011; 11(2): 1635. Available: www.rrh.org.au (Accessed 28 August 2014).
15. Garenne M. Fertility changes in sub-Saharan Africa. Calverton, Maryland: Macro International, 2008.
16. Fayehun O, Omololu O. Ethnicity and child survival in Nigeria. African Population Studies 2011; 25(Supplement I): 92-112.
17. Ogunjuyigbe PO. Under-five mortality in Nigeria: perception and attitudes of the Yorubas towards the existence of 'Abiku'. Demographic Research 2004; 11(2): 41-56.
18. Stallings RY. Child morbidity and treatment patterns. Calverton, Maryland: ORC Macro, 2004.
19. Kanmiki EW, Bawah AA, Agorinya I, Achana FS, Awoonor-Williams JK, Oduro AR, et al. Socio-economic and demographic determinants of under-five mortality in rural northern Ghana. BMC International Health and Human Rights 2014; 14: 24.
20. Nabongo P, Verver S, Nangobi E, Mutunzi R, Wajja A, Mayanja-Kizza H, et al. Two year mortality and associated factors in a cohort of children from rural Uganda. BMC Public Health 2014; 14: 314.
21. Munyagwa M, Baisley K, Levin J, Brian M, Grosskurth H, Maher D. Mortality of HIV-infected and uninfected children in a longitudinal cohort in rural south-west Uganda during 8 years of follow-up. Tropical Medicine and International Health 2012; 17(7): 836-843.
22. Zhang L, Maher D, Munyagwa M, Kasamba I, Levin J, Biraro S, et al. Trends in child mortality: a prospective, population-based cohort study in a rural population in south-west Uganda. Paediatric and International Child Health 2013; 33(1): 23-31.
23. Fazzio I, Mann V, Boone P. Temporal trends (1977-2007) and ethnic inequity in child mortality in rural villages of southern Guinea Bissau. BMC Public Health 2011; 11: 683.
24. Chihana ML, Price A, Floyd S, Mboma S, Mvula H, Branson K, et al. Maternal HIV status associated with under-five mortality in rural Northern Malawi: a prospective cohort study. Journal of Acquired Immune Deficiency Syndrome 2015; 68(1): 81-90.
25. Jahn A, Floyd S, McGrath N, Crampin AC, Kachiwanda L, Mwinuka V, et al. Child mortality in rural Malawi: HIV closes the survival gap between the socio-economic strata. PLoS One 2010; 5(6): e11320.
26. Schoeps A, Gabrysch S, Niamba L, Sie A, Becher H. The effect of distance to health-care facilities on childhood mortality in rural Burkina Faso. American Journal of Epidemiology 2011; 173(5): 492-498.
27. Schoeps A, Souares A, Niamba L, Diboulo E, Kynast-Wolf G, Muller O, et al. Childhood mortality and its association with household wealth in rural and semi-urban Burkina Faso. Transactions of the Royal Society of Tropical Medicine and Hygiene 2014; 108(10): 639-647.
28. Alba S, Nathan R, Schulze A, Mshinda H, Lengeler C. Child mortality patterns in rural Tanzania: an observational study on the impact of malaria control interventions. International Journal of Epidemiology 2014; 43(1): 204-215.
29. Kadobera D, Sartorius B, Masanja H, Mathew A, Waiswa P. The effect of distance to formal health facility on childhood mortality in rural Tanzania, 2005-2007. Global Health Action 2012; 5: 1-9.
30. Clark SJ, Kahn K, Houle B, Arteche A, Collinson MA, Tollman SM, et al. Young children's probability of dying before and after their mother's death: a rural South African population-based surveillance study. PLoS Medicine 2013; 10(3): 1-10.
31. Bawah AA, Phillips JF, Adjuik M, Vaughan-Smith M, Macleod B, Binka FN. The impact of immunization on the association between poverty and child survival: evidence from Kassena-Nankana District of northern Ghana. Scandinavian Journal of Public Health 2010; 38(1): 95-103.
32. Ettarh RR, Kimani J. Determinants of under-five mortality in rural and urban Kenya. Rural and Remote Health (Internet) 2012; 12: 1812. Available: www.rrh.org.au (Accessed 31 August 2014).
33. Gage A, Sommerfelt E, Piani AL. Household structure and childhood immunization in Niger and Nigeria. Demography 1997; 34(2): 295-309.
34. Gurmu E, Etana E. Household structure and children's nutritional status in Ethiopia. GENUS 2013; 69(2): 113-130.
35. Adhikari R, Podhisita C. Household headship and child death: evidence from Nepal. BMC International Health and Human Rights 2010; 10: 13.
36. Heaton TB, Fortse R, Hoffmann JP, Flake D. Cross-national variation in family influences on child health. Social Science and Medicine 2005; 60: 97-108.
37. Clark S, Hamplova D. Single motherhood and child mortality in sub-Saharan Africa: a life course perspective. Demography 2013; 50(5): 1521-1549.
38. Ntoimo LFC, Odimegwu CO. Health effects of single motherhood on children in sub-Saharan Africa: a cross-sectional study. BMC Public Health 2014; 14(1145): 1-13.
39. Omariba DWR, Boyle MH. Family structure and child mortality in sub-Saharan Africa: cross-national effects of polygyny. Journal of Marriage and Family 2007; 69: 528-543.
40. Smith-Greenaway E, Trinitapoli J. Polygynous contexts, family structure, and infant mortality in sub-Saharan Africa. Demography 2014; 51(2): 341-366.
41. Beegle K, Filmer D, Stokes A, Tiererova L. Orphanhood and the living arrangements of children in Sub-Saharan Africa. World Development 2010; 38(12): 1727-1746.
42. Bicego G, Rutstein S, Johnson K. Dimensions of the emerging orphan crisis in sub-Saharan Africa. Social Science and Medicine 2003; 56(6): 1235-1247.
43. Nyamukapa C, Gregson S. Extended family's and women's roles in safeguarding orphans' education in AIDS-afflicted rural Zimbabwe. Social Science and Medicine 2005; 60(10): 2155-2167.
44. Albrecht SL, Miller MK, Clarke LL. Assessing the importance of family structure in understanding birth outcomes. Journal of Marriage and Family 1994; 56(4): 987-1003.
45. Kumar A, Ram F. Influence of family structure on child health: evidence from India. Journal of Biosocial Sciences 2013; 45(5): 577-599.
46. Thomson E, Hanson TL, McLanahan SS. Family structure and child well-being: economic resources vs. parental behaviours. Social Forces 1994; 73(1): 221-242.
47. Akinyemi JO, Bamgboye EA, Ayeni O. New trends in under-five mortality determinants and their effects on child survival in Nigeria: a review of childhood mortality data from 1990-2008. African Population Studies 2013; 27(1): 25-42.
48. Subramanian SV, Corsi DJ. Association among economic growth, coverage of maternal and child health interventions and under-five mortality: a repeated cross-sectional analysis of 36 sub-Saharan African countries. Rockville, Maryland: ICF Interneational, 2014.
49. Rutstein S, Ayad M, Ren R, Hong R. Changing health conditions and decline of infant and child mortality in Benin. Calverton, Maryland: ICF Macro, 2009.
50. Hosegood V. The demographic impact of HIV and AIDS across the family and household life-cycle: implications for efforts to strengthen families in sub-Saharan Africa. AIDS Care 2009; 21(S1): 13-21.
51. Annim SK, Awusabo-Asare K, Amo-Adjei J. Household nucleation, dependency and child health outcomes in Ghana. Calverton, Maryland: ICF International, 2013.
52. Cox D, Fafchamps M. Extended family and kinship networks: economic insights and evolutionary directions. In: S-C Kolm, J Mercier Ythier (Eds). Handbook of the economics of giving, altruism and reciprocity. Handbooks in Economics. Amsterdam and London: Elsevier, 2006.
53. Katapa RS. A comparison of female- and male-headed households in Tanzania and poverty implications. Journal of Biosocial Sciences 2006; 38(3): 327-339.
54. Oginni A, Ahonsi B, Ukwuije F. Are female-headed households typically poorer than male-headed households in Nigeria? Journal of Socio-Economics 2013; 45: 132-137.
55. Takane T. Disparities and diversities among female-headed households in rural Malawi after 20 years of economic liberalization. Singapore Journal of Tropical Geography 2009; 30: 358-372.
56. Bryceson DF. Ganyu casual labour, famine and HIV/AIDS in rural Malawi: causality and casualty. Journal of Modern African Studies 2006; 44(2): 173-202.
57. Gilbert O, Gichuhi W. Determinants of infant mortality in rural Kenya. Research on Humanities and Social Sciences 2014; 4(28): 113-121.
58. Kabagenyi A, Rutaremwa G. The effect of household characteristics on child mortality in Uganda. American Journal of Sociological Research 2013; 3(1): 1-5.
59. Adedini SA, Odimegwu C, Imasiku EN, Ononokpono DN, Ibisomi L. Regional variations in infant and child mortality in Nigeria: a multilevel analysis. Journal of Biosocial Science 2014; 47(2): 1-23.
60. Omariba DWR, Beaujot R, Rajulton F. Determinants of infant and child mortality in Kenya: an analysis controlling for frailty effects. Population Research & Policy Review 2007; 26(2): 299-321.
