Maternity services in New Zealand, in common with similar health systems in other countries, are regionalised with agreed national guidelines for consultation and referral1. Such services contribute significantly to the health and welfare of scattered populations in Australia, Canada, Britain and the USA2-6. In addition, strong arguments are made about the contribution of rural maternity services to the economic viability of rural communities7,8 and the disruption for families, fragmentation of communities and threats to other symbolic health services when maternity facilities are downgraded or closed9.
For many women, and particularly rural women, birthing locally and within their own community is important. The place of birth may be significant for women for personal and cultural reasons, including that it is the area where they themselves were born8,10,11. Thus there are both social and economic arguments for appropriate local services for women of low-risk status, even if transfer from a rural area, when required, may be challenging2. These arguments include the cost in terms of increased intervention, often experienced in larger hospitals, as well as costs incurred by the families if they are forced to relocate for primary labour and birth care4,5,11-18.
Where women give birth in New Zealand
New Zealand is a highly urbanised country with only 14% of the population living in rural and semi-rural areas19. Today approximately 16% of women give birth in their local primary maternity unit20. At the start of this survey a total of 64 primary birth facilities were listed in the New Zealand Health Department 2004 'Maternity Report'20, and birth numbers varied considerably among the primary facilities, with those close to major urban centres recording the most births. In 2009 Hendry identified 52 primary facilities in the New Zealand Ministry of Health's 'Maternity Report', 32 of which were more than 60 min from the nearest hospital21. These represented the more rural and remote facilities, many of which struggle to remain viable with low birth numbers21.
More than 99% of women in New Zealand have access to at least one maternity facility within 1 hour by road of their home address22. This facility may be classified as primary, secondary or tertiary. Primary maternity facilities, or birth units, cater for normal birth and do not have on-site medical specialists. Secondary facilities provide additional care for women and babies with complications while tertiary maternity facilities are equipped and staffed to manage complex maternity and neonatal needs20.
Rural maternity services in New Zealand
Maternity units in New Zealand, in common with those in other countries, form an integral part of primary health care in rural communities. Each rural maternity service reflects the history of the area, the characteristics of the local population, and the mix of skills available in the community23,24. Midwives throughout New Zealand act as Lead Maternity Carers (LMCs), providing care throughout pregnancy, birth and postnatally for women. In rural areas the midwives provide not just for the women who plan to birth locally, but also offer antenatal and postnatal care for women who plan, or need, to birth elsewhere.
Transfer during labour
When labour is proceeding well the distance to specialist services is not an issue; however, if concerns about the woman or her baby arise then transfer will be considered. This can be a disruptive and stressful event for the woman, her family and carers25-28. Unlike in urban centres, transfer may mean travelling a considerable distance. Furthermore, road ambulance services (the usual means of emergency transfer) are largely staffed by volunteer officers in New Zealand's rural areas. Additionally, New Zealand's roads wind and undulate, slowing the transport, and can be unexpectedly blocked by subsidence/landslides following heavy rain, or affected by snow and ice in the colder months29,30. Just as roads are affected by extremes of climate, the same conditions can mean that air transport is not available as an alternative. Thus, during adverse weather, delays in transfer add to other stresses.
The aim of this study was to gain an understanding of the patterns of, and the primary reasons for, maternal and neonatal transfers in rural practice. In addition, information was sought about the influence of the rural context on transfer decisions. Descriptive statistics and free-text comments from the survey provide significant insights into transfer decision-making and these are included.
The 64 primary birth facilities listed in the 2004 Maternity Report20 were each within the jurisdiction of 21 District Health Boards (DHBs), with the exception of a small number of private or 'Community Trust' facilities (managed by the local rural community with a trust deed and a local board). Following ethical approval, the DHB maternity managers were approached for permission to access the rural facilities within their boundaries, while separate permission requests were made directly to the managers of the private and Community Trust facilities. This process identified ineligible primary units located in urban centres and those no longer providing a local birth option; therefore, 45 rural or rural and remote units were eligible for inclusion in the study. After obtaining DHB executive approval, a letter and survey form were sent to the relevant rural maternity manager inviting participation in the study.
Each rural facility kept a birth register with details about admissions, births and transfers to and from secondary or tertiary hospitals. Therefore, the birth registers represented a contemporaneous record, consistent with perceptions of the reason for transfer and decisions made. Because the birth registers provided data for this study, the survey form was designed with this in mind.
The sample was limited to well women beyond 36 weeks gestation, who began labour in the rural unit. Women transferred in early pregnancy for premature labour or any other obstetric or medical condition prior to labour were to be excluded. Thus, only women who had chosen to birth locally and were deemed safe to do so at the onset of labour were included in the survey. Any transferred babies born to these women were included.
The survey form
Information was collected about birth and transfer rates in the 2 year period from 1 July 2004 to 30 June 2006. The questionnaire was purposively developed for this study with the categories selected with reference to the conditions for referral cited in the New Zealand Ministry of Health referral guidelines1, and also those listed in the studies conducted by Fullerton et al31 and Skinner32. The survey form contained three sections. The first asked respondents for the total number of birthing women who met the inclusion criteria, and for the number of transfers of those women and their neonates from each rural facility in the 2 year period. The second section requested the primary reason for these transfers, which may have included non-clinical and medical problems as well as those that emerged during labour, birth and postnatally. For the labour and birth segment of this section, 14 options were provided, and 9 in the postnatal segment. In both segments respondents could cite 'other' as the reason for transfer and add comments.
The characteristics and service arrangements of the particular maternity services were captured in the third section. These included travelling times and distance in kilometres from the rural unit to referral hospital, options for transport at times of transfer, the geographic and climatic features of the area, the regular staffing situation, and the logistical arrangements available to the midwife when transfer occurred. In each section respondents could add a comment to clarify an entry.
The survey form was piloted with four experienced rural midwives who reviewed it for relevance to the rural setting and ease of use. This process resulted in minor wording changes. The validity of the data was ascertained through checking the data entered on the survey form at one rural maternity facility compared with the birth register, with no discrepancies found.
Response rate
The survey was sent to the 45 primary rural maternity units that met the inclusion criteria in the North and South Islands that comprise New Zealand. The response rate was 66.66% with 30 survey forms returned, completed by the maternity services manager, a delegated staff member, or a midwife team member with access to the birth register. The 30 returned surveys represented a range of primary rural facilities. The 19/19 returned surveys from the South Island accounted for all eligible primary rural facilities in that area. The 11/26 returned from the North Island represented a spread of rural facilities from the north to the south of the island. Surveys not returned were from some high density rural areas close to urban centres in the North Island.
Analysis
Survey responses were entered into an Excel spreadsheet and descriptive statistics (n and %) were calculated. No further statistical calculations were made. Written comments were collated and grouped according to the topic area or theme. Those selected for inclusion in the text are numbered (eg 'R02' or 'R16'), according to the number allocated to each survey form on receipt. In this way the comments are attributable to respondents from a particular rural area.
Several respondents sought clarification of wording before returning the completed survey. Similarly, where comments on the returned surveys were not readily reconcilable with the data provided, the respondent was contacted by a researcher and entries clarified. This iterative process resulted in the return of complete survey forms with no missing data.
Ethics approval
Ethical approval for the project was obtained from the New Zealand Health and Disability Multi-Regional Ethics Committee and the local ethics committees in each DHB region. All participants were assured of anonymity, with the data being non-identifiable in the final report.
Birth numbers and transfer rates
The total births for each facility for the 2 year period ranged from 3 to 423, the latter being a facility within 30 min road travel from their referral hospital. Of the 30 facilities that returned a survey, 4 reported less than 10 births and were being used largely as postnatal facilities.
A total of 4678 low-risk women began labour in the 30 rural facilities surveyed and 777 women (16.6%) were transferred in labour or within 6 hours of birth (Fig1). The total number of neonatal transfers was 123 (3% of 3901 babies born in the rural units). These were babies transferred after birth up to 7 days postpartum.

Figure 1: Primary reasons for transfer in labour and up to 6 hours post-birth (n=123/3901). APH, Ante-partum haemorrhage; Mat. maternal; PET, Pre-eclamptic toxaemia; Preg, preganacies; PPH, post-partum haemorrhage; PROM, premature rupture of membranes.
Reasons for transfers of women
The number of women transferred during labour and within 6 hours post-birth is shown (Fig1). The highest number of transfers was for variations of slow labour and these totalled 386 (49.67%) of all transfers (this number was calculated with adjustments to the 'other' category where terms similar to slow or prolonged labour such as 'slow labour', 'failure to progress', 'high head', 'for augmentation', and 'questionable progress' were used by some respondents to explain the reason for transfer).
In the 'other' category 34 women (4.37%) transferred for reasons other than those offered in the survey. These included 12 women who had been assessed in the rural unit but were booked to birth elsewhere and were thus transferred. No reasons were offered for the remaining 22 women.
The total number of women transferred later than 6 hours postpartum was 15. One woman was transferred with a deep vein thrombosis but the transfer reason for the remaining 14 was only recorded as 'other'. The comments given indicated one woman had been transferred with a pilonidal cyst, one with a breast abscess and one required a blood transfusion. Three of the women were transferred back to secondary care; one with a post-epidural headache and two with wound infections. No reason was given for the remaining 8 women and it may be that these women were well but transferred with their infants.
Reasons for neonatal transfers
The number of neonatal transfers was 123 from 3901 births. Of the 123 neonatal transfers, 53 (43%) were for respiratory problems (Fig2). Abnormalities, neonatal jaundice and infection accounted for 17 (13.82%), 13 (10.56%) and 10 babies' (8.13%) transfer, respectively. Concerns about the baby's temperature or feeding problems accounted for 4 and 3 transfers, respectively, leaving 23 as 'other'. Nine of these were accounted for with comments revealing that one infant was transferred for vomiting and diarrhoea, two with severe intrauterine growth restriction (IUGR), one because of a cleft palate, two for hypoglycaemia, one following shoulder dystocia in labour, one for bradycardia and one was described as 'flat' (a common term for an unresponsive baby at birth who is in need of resuscitation; Fig2). No reason was given for the remaining 14 neonatal transfers and it is possible that these neonates were transferred with their mothers. As this could not be confirmed, the figure of 123 was used for the purposes of calculating the neonatal transfer rate.

Figure 2: Primary reasons for transfer of neonates (n=123/3901). RDS, Respiratory distress syndrome; Temp., temperature.
The rural context
Information was sought about the characteristics of each rural maternity service, including transport systems, times and distances involved, climatic and geological characteristics and assistance available at the local site. The descriptive statistics are summarised below with clarifying comments where necessary.
Transport when transfer required: Respondents were asked to provide the kilometre distance between their rural facility and the closest referral centre. These figures were checked against the coordinates in the New Zealand Automobile Association's 'Road Atlas'33. Also requested was an estimation of the average travel time for the journey (Fig3).

Figure 3: Distance and estimated travel time from 30 rural and remote maternity units to specialist care.
Distances by road varied from 12 to 194 km (mean 87 km, median 82 km) (Fig3). Travelling times ranged from 30 to 150 min (mean 78 min, median 60 min). In two areas the estimated time required to travel between the rural and urban centre is significantly more than would be expected for the kilometres indicated (maternity units 3 and 20, Fig3).
Climatic and road conditions: The topographical features of an area combined with adverse weather or road conditions have the potential to affect the timeliness of transfer. Thus, respondents were asked to indicate which geological features and weather conditions common in New Zealand impacted on their locale (Table 1).
Table 1: Local topographical and climate features with the potential to affect the timeliness of transfer

Almost all survey returns contained free-text comments about the timing of transfer journeys and how these could at times be affected by local factors. For all rural areas, road ambulance was the usual form of transport and in some instances women would travel by private car if this was considered a safe and more timely option. In the following section respondent comments are provided to illustrate the common challenges reported by these rural maternity services.
Anticipated delays: Delays were anticipated and in one area midwives allowed '...up to three hours for a one hour trip to allow for assessment, notifying hospital and waiting for ambulance staff' (R16). This was in anticipation of problems securing an ambulance and assembling the crew. Where the local ambulance was not available, '...another needed to be sourced from a neighbouring area' (R20). Because most of these ambulances were staffed by local volunteers on call at their home or place of work, '...the waiting time [at the rural facility] could be prolonged' (R02) and 'many transfers were done mindful always that there will be >hour of preparation plus travel times, therefore some transfers are unnecessary in retrospect but were done to be timely' (R16). And if the local ambulance is not available, services in a neighbouring area may need to be accessed. For example, '...delays with ambulance if staff [is] busy up on the snow fields' (R02) reflects the demands on local services during the school holidays and the skiing season.
For urgent transfer evacuation by air, either helicopter or fixed wing aircraft were used. However comments suggested that:
...it was not always possible to get airborne at night or in bad weather or chopper often unable to get in because of low cloud and rain [and that] night flights [could only be undertaken] 2 days either side of the full moon. (R07)
All but seven of the respondents added comments in regard to road and weather conditions. Examples include 'If roads are open' (R04); 'If weather permits' (R06); 'Impassable to tertiary facility when road shut off by snow' (R01); 'Difficult road conditions windy for first 40 to 60 minutes with frequent slips [landslides] in winter' (R02); 'Depending on road conditions icy in winter' (R21). The estimated time required to access secondary services was also extended to accommodate other local factors, for example; the '...need to cross city traffic in peak hours' (R05) and the ready availability of an ambulance.
Assistance available in the local area: In the last section of the survey respondents were asked about the assistance available to the midwives in the local areas when they were preparing a woman for transfer or accompanying the woman on her transfer journey.
Table 2: Assistance available in the local area prior to transfer

Assistance from health professionals at the local level varied depending on the time of day and their availability. Support in some areas was available from other midwives, nurses and local GPs. In other areas, the rural facility was part of, or within the grounds of, a medical centre or rural hospital. In these facilities, doctors could sometimes assist with emergency care. Other stand-alone facilities 'called in' midwifery or nursing staff to assist during labour and birth, or to provide cover when the midwife left.
Nurses were employed or 'on call' in most areas and were sometimes summoned from the accident and emergency area on site. Their assistance was appreciated as they were usually skilled in emergency care and could establish intravenous access if required prior to transfer. Some nurses were also employed in the rural maternity facility while others came from the 'ward' or 'aged care' area. In other areas the nurses were on call but did not live close to the facility.
General practitioners had consulting rooms in almost all the areas surveyed and in a few areas the GP was available if required. In one area GPs provided back-up in addition to a second midwife but, in most cases, the local GP was not involved when a transfer occurred, even when their consulting rooms were at the same site. Comments indicated that accessing the local doctor could be difficult at times. For example, the GP '...was only available between nine and five' (R17), or was '...often away on weekends' (R09), or '...doesn't live in town' (R21).
The local ambulance personnel were a key source of assistance for the midwives in most areas. Two facilities had paramedics living in their local area while a further 7 areas had access to a paramedic from outside the area. For neonatal emergency transfers, retrieval teams could be dispatched from the secondary or tertiary facility to stabilize and transport a sick baby born in a rural area. However, as one response illustrates, '...delays can occur in getting [an] ambulance to [the] facility for neonatal retrieval, this can be up to 80 minutes' (R18) which, in some areas, was more than the estimated travelling time to the referral centre. So wherever possible efforts are made to transfer the woman early if foetal distress is diagnosed.
Similarly, there was local variability in the provision of care for women needing assistance when the midwife was away on a transfer or in one unit where '...generally a handy core midwife [hospital employed therefore not a Lead Maternity Care or self employed midwife] escorts' (R24) the woman. Twenty-three facilities had cover from another midwife. In 9 areas GPs were available and in 15 there was cover provided by the nursing staff. Participants indicated that for some areas there were two and sometimes three options for cover and all but one area had at least one alternative arrangement for cover when the midwife left the area on transfer with the woman or baby. In one area it was reported that '... the second midwife follows the ambulance with [the] first midwife's car and returns in ambulance' (R29) in order for the first midwife to return home.
Spontaneous comments on the survey forms alluded to strategies employed by the rural midwives to provide safe choices for women. These included encouragement for women to birth locally unless there was a contraindication. As one respondent said, 'We encourage all women to birth at our facility unless they have obstetric or medical problems that dictate travelling to base hospitals' (R02). This comment demonstrates belief in the importance of birth place to support a woman to birth unassisted and undisturbed as described by Foureur34. Where there were antenatal risks, the midwives guided women to '...begin labour in the secondary or tertiary unit' (R29). This strategy was to '...keep transfer levels to a minimum' (R29). An important part of this screening involved links and collaboration with specialist services. One respondent confirmed this by writing '...[t]he midwifery team works closely with the visiting obstetrician in the antenatal period' (R03). This caution is also reflected in transfer decisions in labour. Forward planning for one midwife was described as '...thinking ahead' (R14) and asking the question '...will the woman be safe in 2 hours time' (R14), with the strategy always to '...err on the side of caution' (R14). Planning ahead was also indicated by three other respondents.
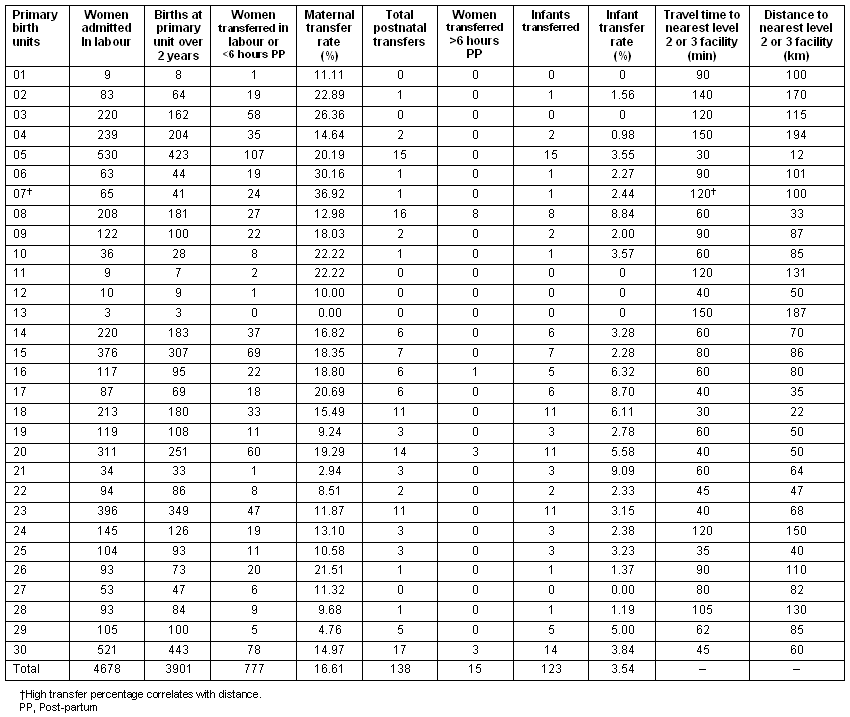
Comparison of primary birth units
These comments suggest a cautious approach taken by the rural midwives with regard to transfer. However the small numbers in some areas make it difficult to observe any trends in transfer patterns from the rural facilities. The percentage rates of transfer, travelling times and distances to secondary/tertiary facilities are provided (Table 3). The range of transfer rates for women is from 0 to 36.9% with the highest rate in unit 07 which was 120 min and 100 km away from a secondary/tertiary referral centre - but there were others with lower rates of transfer which were at similar while being even greater distances and times away from their nearest referral centre.
Table 3: Comparison of primary unit birth numbers, transfers, travelling time and distances to secondary/ tertiary facilities

Discussion
A strength of this survey was the number of responses - 30 from a possible 45 rural maternity units. All units in the South Island (19) and 11 of a possible 26 from the North Island were represented in the sample. The data source (birth registers) recorded and reflected the thinking and decisions made at the time of each transfer. In addition, the respondents provided clear information about their local rural contexts as it related to the process of transfer.
A limitation of the survey, however, is that the outcomes for the transferred women and babies was not sought, thus it is not possible to comment on the appropriateness of the transfer decisions. Further, the rates of transfer varied among individual units and this information has not been presented. The 15 maternity units in the North Island not represented in this study were located in both rural and remote rural areas. Those facilities close to their referral centre have higher numbers of births. However, due to the lack of national data on transfers at the time of the research it was not possible to determine if their inclusion would have influenced the findings.
The overall rate of transfer for the low risk group of women in this study was 16.6% (17%), a rate comparable with the 14.6-22% found by Walsh and Downe35 in their systematic review of free-standing, and midwife-led birth centres. Whether or not a transfer rate of 17% is appropriate for this group of women cannot be determined, given that studies in New Zealand, and elsewhere, concern different populations, and use different methodologies. Skinner suggests that the rate of transfer is less important than the appropriateness of the transfer decision32. However, as outcomes in this study were not linked to the outcomes for the women and infants, the appropriateness of transfer cannot be verified. Rather the study describes the rates and reasons for transfer within the context of rural maternity care.
Slow progress in labour was the most common reason for transfer, which is confirmed by other studies. For example, Fullerton et al cited 'failure to progress' as the most common reason for transfer between two freestanding birthing centres and the referral centre31. Dystocia was found to be more common with primiparous women by Baird et al36, a finding that is also consistent with the report of the National Birth Center Study37.
A diagnosis of slow progress is influenced by the time frames for labour calculated by Friedman38, which have been incorporated into partograms in maternity notes worldwide. However more recent studies have challenged this measure particularly for low risk women. Active phases of labour anticipated by the Freidman curve may not occur, or occur later in labour39 and this apparent 'lack of 'progress' may well happen at the rural facility and indicate the need to transfer the labouring woman. Similarly, women not meeting the expected rate of cervical dilatation can result in over-diagnosis of dystocia40. Partogram alert time lines have also been examined by Lavender et al, who found that41:
...intervention in slow labor based on an action line 2 hours to the right of what is considered the normal progress line is more common but does not result in improved outcomes compared with intervention based on a 4 hour action line. (p302)
The limits in both first and second or subsequent labours were found by Albers et al. to be 'considerably longer than Friedman's at 12 hours and 6 hours', respectively (p357)42. It was suggested by the authors that an upward revision of the time frames for normal labour was warranted, given that labour lasted longer than is widely appreciated without any excess maternal or neonatal morbidity. Further, in their systematic review Altman and Lydon-Rochelle concluded that there was no association between prolonged second stage of labour and adverse neonatal outcomes43, although women experiencing a prolonged first stage of labour have increased odds of caesarean delivery and chorioamnionitis44.
From these studies it is reasonable to conclude that slow progress in labour, while concerning, is not usually considered an emergency transfer43,45. Nevertheless, it is prudent to consider transfer from rural areas when labour is prolonged, given that in most instances there is time to make the transfer journey without significant risk to women or their babies.
Local knowledge and local solutions
The manner in which choice of birthplace is presented by health professionals has the potential to encourage or discourage consideration of local birth. For example, in rural Scotland, Pitchforth et al found that while choice was advocated, few women felt that they had an '...active choice in deciding where to give birth' (p47)46. It was acknowledged that this was a complex decision involving consideration of not just their health practitioner's opinion, but also expectations of family and their community; the overriding consideration being their perception of what was a safe choice46.
In this current study, the system for managing transfers was unique to each area and delays were common. Thus, local knowledge was vital, as was being able to access assistance when transfer occurred. These findings aligned with Hendry's mappings of the New Zealand rural maternity workforce21,23. Similar strategies were found by Lambert in rural Scotland, where the most effective way of managing emergency situations was to proactively seek out and develop expertise within the community, rather than relying on help being available from outside the area47. This pragmatic approach, coupled with local knowledge, also appeared to be the way that transfer services were developed and managed on a day-to-day basis in these rural areas in New Zealand, and the background against which transfer decisions were made.
The decisions made by the midwives in this study demonstrated their attention to risk assessment and cautiousness with regard to the timing of transfer. These skills and the sense of responsibility is shared with rural midwives elsewhere. For example, narratives from midwives in rural Scotland also revealed this sense of responsibility for risk assessment and the need to 'err on the side of caution' when considering transfer (p4)48.
From the survey findings and respondents' spontaneous comments, it seems that the rate of transfer is not the issue; at least not at the time. What is emphasized by the respondents is appropriate assessment at all stages of pregnancy and in labour, so that timely decisions can be made. This assessment also included consideration of the distance from specialist care, the topographical challenges of the rural area, and the possibility that adverse weather conditions could affect travel times.
The transfer rates and the primary reasons for transfer were presented for low risk women and neonates over a 2 year period from 30 rural facilities in New Zealand. The arrangements at the times of transfer were reliant on local circumstances, prior to and during transfer, and idiosyncratic to each facility. This appears to have led to a sensitive threshold for referral that involved 'thinking ahead' and 'erring on the side of caution'. This cautious approach demonstrates an understanding of not just the clinical indications, but also the rural contextual and environmental factors that affect the organisation and timing of the transfer.
An important finding in this survey was that 83% of women who began labour in their rural unit remained there. This suggests that within a regionalised perinatal system, it is appropriate for well women near term to plan birth in their local rural area. This is supported by the survey results of a transfer rate of 17% during labour and in the first few hours following a birth. Of this number, almost 50% of transfers were undertaken for variations of slow labour; a situation which is rarely an emergency.
While distance and the geological features in rural areas cannot be changed, further opportunities exist to adequately resource and work with rural communities to improve transfer times and continue to develop skilled assistance at the point of departure. Such investment would encourage greater utilisation of rural maternity services, sustaining and improving the safety of the rural birth option and increasing the social capital these services contribute locally and nationally.
References
1. Ministry of Health. Guidelines for consultation with obstetric and related specialist medical services (Referral guidelines). Wellington: Ministry of Health, 2002.
2. Nesbitt TS, Larson EH, Rosenblatt RA, Hart LG. Access to maternity care in rural Washington: its effect on neonatal outcomes and resource use. American Journal of Public Health 1990; 87(1): 85-90.
3. Nesbitt TS, Connell FA, Hart LG, Rosenblatt RA. Access to obstetric care in rural area: effect on birth outcomes. American Journal of Public Health 1990; 80(7): 814-818.
4. Tew M. Safer chilbirth? A critical history of maternity care. London: Chapman & Hall, 1995.
5. Tracy SK, Sullivan E, Dahlen H, Black D, Wang YA, Tracy MB. Does size matter? A population-based study of birth in lower volume maternity hospitals for low risk women. British Journal of Gynaecology 2005; 113(1): 86-168.
6. Iglesias S, Grzybowski S, Klein MC, Gagné GP, Lalonde A. Rural obstetrics. Joint position paper on rural maternity care. Joint Working Group of the Society of Rural Physicians of Canada (SRPC), The Maternity Care Committee of the College of Family Physicians of Canada (CFPC), and the Society of Obstetricians and Gynaecologists of Canada (SOGC). Canada Family Physician 1998; 44: 831-843. Available: http://www.ncbi.nlm.nih.gov/pmc/articles/PMC2277824/
7. Holmes GM, Silfkin RT, Randolph RK, Poley S. The effect of rural hospital closures on community economic health. Health Services Research 2006; 41(2): 467-485.
8. Gallagher AE. Influences on decisions of a group of rural primigravida on planned place of delivery. Dunedin: University of Otago, 2003.
9. Miewald C, Klein MC, Ulirich C, Butcher D, Eftekbary S, Rosinski J et al. "You don't know what you've got till it's gone": the role of maternity care in community sustainability. Canadian Journal of Rural Medicine 2011; 16(1): 7-12.
10. Howie J. Choosing the place of birth: How primigravida women experiencing a low-risk pregnancy choose the place in which they plan to give birth in New Zealand. Dunedin: Otago Polytechnic Dunedin, 2007.
11. Kornelsen J, Grzybowski S. Rural women's experiences of maternity care: Implications for policy and practice. Ottawa, ON: Status of Women Canada, 2005.
12. Brown S. Capturing a process of activism: a community of remote rural women working together to influence local birthing services through participatory action research. In: Proceedings, International Confederation of Midwives, 28th Triennial Congress; 1-7 June 2008; Glasgow, UK: 2008.
13. Campbell R, McFarlane A. Where to be born: the debate and the evidence, 2nd edn. Oxford: National Perinatal Epidemiological Unit, Radcliffe Infirmary, 1994.
14. Dietsch E, Davies C, Shackleton P, Alston M, McLeod M. 'Luckily we had a torch': Contemporary birthing experiences of women living in rural and remote NSW. Sydnew, NSW: School of Nursing and Midwifery, Faculty of Science, Charles Sturt University, 2008.
15. Peddle LJ, Brown H, Buckley J, Dixon W, MacDonald J, Muise J et al. Voluntary regionalization and associated trends in perinatal care: the Nova Scotia reproductive care programme. American Journal of Obstetrics & Gynaecology 1983; 145(2): 170-176.
16. Rosenblatt RA. Regionalisation of obstetric and perinatal services in New Zealand. A health services analysis. Wellington: New Zealand Department of Health, 1984.
17. Sutherns R. Adding women's voices to the call for sustainable rural maternity care. Canadian Journal of Rural Medicine. (Online) 2004. Available: http://www.cma.ca/index.cfm/ci_id/41974/la_id/1.htm (Accessed 31 May 2011).
18. Sutherns R, Bourgeault IL. Accessing maternity care in rural Canada: there's more to the story than distance to a doctor. Health Care Women International 2008; 29: 863-883.
19. Statistics New Zealand. An urban/rural profile update. Wellington, Statistics New Zealand, 2010.
20. Ministry of Health. Report on maternity. Maternal and newborn information 2004. Wellington: Ministry of Health, 2007.
21. Hendry C. Report on mapping the rural midwifery workforce in New Zealand for 2008. New Zealand College of Midwives Journal 2009; 41: 12-19.
22. Beere P, Brabyn L. Providing the evidence: geographic accessibility of maternity units in New Zealand. New Zealand Geographer 2006; 62: 135-143.
23. Hendry C. Midwifery in New Zealand 1990-2003: the complexities of service provision. Doctorate. Sydney, NSW: Sydney University of Technology, 2003.
24. Patterson JA. Rural midwifery and the sense of difference. New Zealand College of Midwives Journal 2007; 37: 15-18.
25. Creasy JM. Women's experience of transfer from community-based to consultant-based maternity care. Midwifery 1997; 13: 32-39.
26. Nolan M (Ed.). The consumer view. Oxford: Books for Midwives, 2002.
27. Walker JM. Women's experiences of transfer from a midwife-led to a consultant-led maternity unit in the UK during late pregnancy and labor. Journal of Midwifery and Women's Health 2000; 45(2): 161-168.
28. Wiegers TA, van der Zee J, Keirse MJ. Transfer from home to hospital: what is its effect on the experience of childbirth? Birth 1998; 25(1): 19-24.
29. National Institute of Water and Atmospheric Research. Overview of New Zealand climate. (Online) 2007. Available: http://www.niwa.cri.nz/edu/resources/climate/overview (Accessed 21 May 2008).
30. Tourism New Zealand. New Zealand geography and geology. (Online) 2008. Available: www.tourism.net.nz/new-zealand/about-new-zealand/geography.html (Accessed 21 May 2008).
31. Fullerton JT, Jackson D, Snell BJ, Bessner M, Dickinson C, Garite T. Transfer rates from freestanding birth centres. A comparison with the National Birth Centre Study. Journal of Nurse-Midwifery 1997; 42(1): 9-19.
32. Skinner JP. Risk and the midwife: a descriptive and interpretive examination of the referral for obstetric consultation practices and attitudes of New Zealand midwives. Wellington: Victoria University of Wellington, 2005.
33. New Zealand Automobile Association Inc. Road atlas New Zealand 2007. Auckland: NZAA, 2007.
34. Foureur M. Creating birth space to enable undisturbed birth. In: K Fahy, M Foureur, C Hastie (Eds). Birth territory and midwifery guardianship. Edinburgh: Elsevier, 2008.
35. Walsh D, Downe S. Outcomes of free-standing, midwife-led birth centres: a structured review. Birth 2004; 31(3): 222-229.
36. Baird AG, Jewell D, Walker JJ. Management of labour in an isolated rural maternity hospital. BMJ 1996; 312(7025): 223-229.
37. Rooks JP, Weatherby NL, Ernst EKM. National birth center study, part 111 - Intrapartum and immediate postpartum and neonatal complications and transfers, postpartum and neonatal care, outcomes and client satisfaction. Journal of Nurse-Midwifery 1992; 37(6): 361-397.
38. Friedman EA. Labor: clinical evaluation and management, 2nd edn. New York: Appleton-Century-Crofts, 1978.
39. Zhang J, Troendle J, Mikolajczyk R, Sundaram R, Beaver J, Fraser W. The natural history of the normal first stage of labor. Obstetrics & Gynecology 2010; 115(4): 705-10.
40. Neal JL, Lowe NK, Patrick TE, Cabbage LA, Corwin EJ. What is the slowest-yet-normal cervical dilation rate among nulliparous women with spontaneous labor onset? Journal of Obstetric,Gynecologic and Neonatal Nursing 2010; 39(4): 361-369.
41. Lavender T, Alfirevic Z, Walkinshaw S. Effect of different partogram action lines on birth outcomes: a randomized controlled trial. Obstetrics & Gynecology 2006; 108(2): 295-302.
42. Albers LH, Schiff M, Gorwoda JG. The length of active labor in normal pregnancies. Obstetrics & Gynecology 1996; 87(3): 355-359.
43. Altman MR, Lydon-Rochelle MT. Prolonged second stage of labour and risk of adverse maternal and perinatal outcomes: A systematic review. Birth 2006; 33(4): 315-322.
44. Cheng YW, Hopkins LM, Caughey AB. How long is too long: Does a prolonged second stage of labor in nulliparous women affect maternal and neonatal outcomes? American Journal of Obstetrics and Gynecology 2004; 191(3): 933-938.
45. Torr E. Report on the findings of the consensus conference on obstetrical services in rural or remote communities, Vancouver, BC Feb. 24-26 2000. Canadian Journal of Rural Medicine 2000; 5(4): 211-217.
46. Pitchforth E, van Teijlingen E, Watson V, Tucker J, Kiger A, Ireland J, et al. "Choice" and place of delivery: a qualitative study of women in remote and rural Scotland. Quality & Safety in Health Care 2009; 18(1): 42-48.
47. Lambert J. Maintaining skills in remote and rural maternity care. In: Proceedings, International Confederation of Midwives 28th Triennial Congress; 1-5 June 2008; Glasgow, UK, 2008.
48. Harris FM, van Teijlingen E, Hundley V, Farmer J, Bryers H, Caldow J, et al. The buck stops here: Midwives and maternity care in rural Scotland. Midwifery 2011; 27(3): 301-307.


