Original Research

Extreme temperature episodes and mortality in Yakutsk, East Siberia

Part of Special Series: Circumpolar Special Issue: Human health at the ends of the earthgo to url

AUTHORS

name here
Boris Revich
1 DrMedSci, Head of laboratory

name here
Dmitry Shaposhnikov
2 PhD, Senior researcher *

CORRESPONDENCE

* Dmitry Shaposhnikov

AFFILIATIONS

1 Institute of Forecasting, Russian Academy of Sciences, Moscow, Russia

2 Environmental Health Laboratory, Institute of Forecasting, Russian Academy of Sciences, Moscow, Russia

PUBLISHED

18 June 2010 Volume 10 Issue 2

HISTORY

RECEIVED: 16 October 2009

REVISED: 29 March 2010

ACCEPTED: 18 June 2010

CITATION

Revich B, Shaposhnikov D.  Extreme temperature episodes and mortality in Yakutsk, East Siberia. Rural and Remote Health 2010; 10: 1338. https://doi.org/10.22605/RRH1338

AUTHOR CONTRIBUTIONSgo to url

© Boris Revich, Dmitry Shaposhnikov 2010 A licence to publish this material has been given to James Cook University, jcu.edu.au


Abstract

Introduction: Although the health impacts of heat waves and, to a lesser extent, cold spells in big cities in moderate climates have been well documented, little is known about the same impacts in the circumpolar region. An epidemiological study in an Arctic town presents considerable difficulties for the statistician because of small population sizes. When daily mortality counts are mostly 0, 1 or 2, they are not normally distributed and do not fit the independence assumption. The aim of this study was to take these difficulties into account and assess the impacts of extreme temperature events on mortality rates in Yakutsk, a city with a strongly continental climate, situated near the north pole.
Method: Long-term distributions of daily mean temperatures were analyzed for identification of heat waves and cold spells during the study period of 1999 to 2007. The authors investigated daily mortality from all non-accidental causes, coronary heart disease and cerebrovascular causes among the age groups 30-64 years and 65 years and over. Statistical analysis was in two steps. Step 1 involved Student's t-tests of samples, which consisted of cumulative mortalities during each heat wave. This provided a measure of the average health effect of all identified heat waves, and the same analysis was performed separately for cold spells. At Step 2, the authors compared the observed cumulative mortality during each individual temperature wave with expected seasonal mortality, using χ2 tests.
Results: The analysis of the impacts of six heat waves and three cold spells provided sufficient evidence that cardiovascular and non-accidental mortalities increased in Yakutsk during both heat waves and cold spells. The magnitude of established health effects was approximately the same for heat and cold. No significant differences were found between the two analyzed age groups in terms of relative excess mortality. Coronary heart disease mortality increased more than two-fold during some of the identified temperature waves, while non-accidental mortality increased by approximately 50%. The time lags between the temperature wave and observed increase in mortality varied between 8 and 14 days, which indicated that the health effects of temperature extremes were delayed rather than immediate. The evidence obtained of the effects of temperature waves on cerebrovascular mortality was not conclusive. Addressing the methodological implications of dealing with small cities, the authors linked the sensitivity of the applied statistical tests to arithmetic means and relative standard deviations of daily death counts, and to the duration of temperature waves.
Conclusions: The proposed methodology can be applied in other medium-sized towns (populations >200 000, approximately); however, only large relative increases in mortality will be statistically significant. For example, relative risks of less than 2.0 for coronary disease mortality and 1.4 for non-accidental mortality are likely to be non-significant.

Key words: climate warming, cold spell, continental climate, excess mortality, heat wave, Yakutsk Siberia.

Introduction

There are at least two compelling reasons for focusing on public health in northern cities with a continental climate. First, greater seasonal and diurnal variations of temperatures are likely to have more pronounced health consequences. Second, most climate models predict that circumpolar regions will experience greater climatic changes than global averages. Recently observed climatic changes in Siberia were noticeably greater than the global trends. If the average global surface temperature increased by 0.65°C over the last 50 years1, then in central inland parts of Siberia, the average annual temperature increased by 1-3°C, and average winter temperatures increased by 3-5°C during the same period2. This study concerned Yakutsk in Russian East Siberia, located approximately 4° (450 km) below the Arctic Circle. It is the capital of the Sakha (Yakutia) Republic, with a population of 210 642 according to the 2002 Census. Yakutsk is one of the coldest cities on earth, with January temperatures averaging −40.9°C. The coldest temperatures ever recorded outside Antarctica occur in the basin of the Yana River to the northeast of Yakutsk. However, July temperatures may exceed 30°C, placing the region among those in the world with the greatest seasonal temperature variations.

The relationship between extreme temperature events and mortality has been well documented in moderate climates, where the greatest observed increases in total mortality typically reach 60-85%3-5, while the documented impacts of cold spells were generally more modest at 10-15%6,7. Most researchers agree that cardiovasclular and respiratory deaths contribute most to these increases. Unfortunately, little is known about the same relationship in circumpolar regions. One obvious reason is the absence of large cities, which makes direct epidemiological studies difficult. This study attempted to fill this gap and proposed a statistical framework to estimate variations in mortality that can be applied to cities where the total daily mortality is relatively low (4-6 deaths per day).

The purpose of the current study was to assess the impacts of extreme temperature events on mortality rates in the selected age- and cause-specific categories of mortality, and to identify the most vulnerable population groups.

The results of this study may be used to establish population alert thresholds for when a specific climatic event (either heat wave or cold spell) is anticipated. Because most climate models predict widespread changes in extreme temperatures1, the projected increases in the frequency of extreme temperature events may be combined with the results of the current study to estimate the potential direct effects of climate change on mortality in circumpolar regions.

Methods

The study period spanned the 9 years between 1999 and 2007. A database of daily mortality counts was developed and subdivided into 6 categories by age and cause of death (Table 1). No distinction was made between the sexes. The two selected age groups represented the able-bodied population: 30-64 years and retired people aged 65 years and over; the number of deaths among those aged under 30 years was too small to analyze. The selected causes of death reflected our current understanding of climate-dependent causes: non-accidental deaths and cardiovascular mortality were analyzed. Based on absolute numbers of deaths, the two most significant causes were analyzed among cardiovascular deaths: ischemic (or coronary) heart disease (IHD) and cerebrovascular diseases (CVD). Mean daily temperatures for this study were calculated on the basis of 3 hour air temperature data recorded by Yakutsk weather station, which belongs to the network of Federal Service for Hydrometeorology and Environmental Monitoring (Roshydromet).

A heat wave was defined as a time period during which the daily mean temperature was above the 97th percentile of the historic distribution of daily mean temperatures for 9 consecutive days or more, of which at least 3 days had average daily temperatures above the 99th percentile. Similarly, a cold spell was defined as a period of at least 9 consecutive days with daily mean temperatures below the 3rd percentile, of which at least 3 days had daily mean temperatures below the 1st percentile.

Mortality deseasonalization procedure

Six heat waves and three cold spells were identified in Yakutsk during the study period, which varied in length from 9 to 19 days. It was assumed that the duration of the mortality response would be approximately equal to the duration of causative temperature wave. Thus, any slow changes in mortality, which have typical temporal scales of longer than approximately 4 weeks, had to be filtered out prior to the analysis of the impacts of discrete weather events.

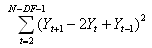
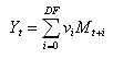
For this purpose, the observed daily mortality Mt was treated as the sum of a fast component Ft, which responds to day-to-day variations of meteorological parameters, and a smooth function of time Yt, which models all longer-term trends. The latter was modeled as a weighted moving window average of Mt, with the width of the moving window equal to the number of degrees of freedom (DF):

[1]


All days of the study period, including temperature wave days, were included in the estimation of Yt. The weights vi in [1] were determined as a compromise between smoothness of function Yt and goodness of fit:

[2]


where λ is a parameter, 0<λ <1, which ultimately defines the degree of smoothing. By varying this parameter, it was easy to select the desired amount of smoothness of the Yt function, as has been described8. Goodness of fit is inversely proportional to the sum of the residuals ; while smoothness is inversely proportional to the sum of squares of the differences between the first derivatives, measured on each pair of subsequent days: . In the model, DF=182 (half a year) was chosen to reflect general understanding of the time scale of the major possible confounders (long-term changes in health status, seasonal variations, winter epidemics of influenza and acute respiratory infections). For example, there was no need to exclude epidemic periods from the analysis because potential increases of mortality due to epidemics were indirectly included in the algorithm for estimating the expected background mortality. The desired amount of smoothness of the Yt function was limited to approximately two oscillations per year. This seasonal smooth function, Yt, was used as a proxy for the expected (background) mortality in subsequent calculations of relative increases in mortality during heat waves and cold spells. As follows from the goodness-of-fit requirement, the arithmetic mean of de-seasonalized mortality Ft = Mt-Yt over any extended periods of time (more than 1 month) should be very close to zero. This property of the Ft function was used in the Tier 1 calculations described below.

Statistical methods

To obtain evidence that mortality rates increase during temperature waves, one has to analyze the time series of daily mortality rates obtained over the years of the study. In a small city such as Yakutsk, most of the values in such a time series are 0, 1 or 2. This limits the scope of application of conventional statistical methods based on dispersion analysis of independent samples, because:

  1. The underlying distribution ('parent population') of daily mortality rates does not follow a T-distribution.
  2. Mortality rates, observed during consecutive days (eg during a discrete weather event) do not fit the independence assumption.

Because of this it was necessary to either rectify these problems or to use non-parametric tests, which do not require assumptions about the underlying parent distributions. In fact, both were attempted, and eventually a two-tiered research strategy was arrived at, which consisted of the following sequence: Tier 1 - screening analysis of cumulative impact of all six heat waves identified during the study period; Tier 2 - analysis of the health impacts of individual heat waves. The same strategy was then applied to cold spells.

Tier 1: Studying cumulative impact of temperature waves

The goal of Tier 1 analysis was to normalize the parent distribution of daily mortality rates and use dispersion analysis of independent samples drawn from this distribution. Because all the heat waves were observed in different years, their health effects were assumed to be independent from each other. In the Tier 1 analysis, the average, or cumulative, health impacts of all six heat waves were quantified, pooled into one sample, and categories of mortality identified where the impacts were statistically significant. Thus, Tier 1 was essentially a screening analysis, because it reduced the number of categories of mortality to be analyzed during the second tier (where the impacts of individual waves were studied).

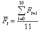
Pearson's correlations were calculated between same-day and next-day mortality rates to show if mortality rates on consecutive days were not independent, and that any samples of mortality rates taken on consecutive days were not random. To check the long-term distributions of de-seasonalized mortality rates for normality, percentiles were calculated, which corresponded to µ; µ±σ and µ±2σ of the respective parent distributions. For all categories of mortality, such distributions in Yakutsk were strongly skewed to the right (positive skew). These were normalized by the use of an 11 day moving averaging procedure: . After this transformation, populations became normally distributed. The width of the moving window (11 days) was chosen to retain an optimal amount of information about the health impacts of all temperature waves.

The average impact of all heat waves was characterized by the mean of the test sample of six values, taken on the first day of each wave. Indeed, if a heat wave begins on the day t, then is the daily mortality, averaged over the first 11 days of the wave and expressed as the excess above the seasonal background. The individual observations in the test sample were now independent, because each wave supplied a single observation. The null hypothesis was formulated as follows: the mean of the test sample should be equal to the mean of parent distribution (which is zero because we are dealing here with de-seasonalized mortality); and the standard deviation of the test sample should be equal to standard deviation of parent distribution σ. Then, the value of Student's t-test is given by the following equation: , where n is the number of temperature waves.

The test samples did not differentiate between the lengths of individual waves, rather treating them as if they each lasted for 11 days. In reality, however, all six heat waves had varying lengths: 13, 12, 12, 19, 9 and 11 days (Table 3). The intention during Tier 1 was to over-estimate, rather than to under-estimate the impact of all waves (to keep in more categories for Tier 2; this is a conservative assumption during screening). By setting the window width to 11, the average daily impact of wave #5 may have been under-estimated, but the average daily impacts of waves 1-4 were over-estimated. When the window width is shorter than the wave duration, the health effect is likely to be over-estimated due to the harvesting effect: short-term displacement of deaths makes one expect the maximum excess in deaths at the beginning of the wave, rather than at its end9. Moreover, wave #4 appeared to be an outlier because it was much longer than the others. Without this wave, the average length of the remaining five heat waves was equal to 11. These observations explain the choice of the moving window width.

Because the literature suggested that the impact of extreme temperatures on mortality could be delayed by some days, the concept of time lag was incorporated into the tests. For example, the sample of six values, taken on the second day of each wave would characterize the average impact of all heat waves with a time lag of 1 day, and so on. The null hypothesis was tested with alternative time lags, varying between 0 and 20 days (as was suggested in the Czech study10) and identified the time lag, which maximized the probability of rejection of the null hypothesis. In all these tests, however, it was implicitly assumed that the time lags would be the same for all heat waves, which may not necessarily be so. This limitation was embedded in the Tier 1 analysis but it was relaxed at Tier 2.

Tier 2: Studying impacts of individual temperature waves

Because the small number of daily deaths in Yakutsk precluded using parametric tests of independent samples for assessment of impacts of individual temperature waves, χ2 tests were used. This is a non-parametric test that does not consider variance of daily mortality rates. The observed health impact of a temperature wave was characterized by cumulative mortality, defined as the sum of daily deaths which occurred during this wave. Thus, it was postulated that the expected response of mortality should have exactly the same length as the duration of the causative temperature wave. To calculate the expected cumulative mortality, the seasonal smooth function of mortality Yt was multiplied by the duration of a temperature wave. Because the health impacts of temperature waves were not compared, χ2 tests with DF=1 were used and, as a conservative assumption, also Yates' correction for continuity, due to the small number of observations. In the present study, most tests of cardiovascular causes involved cumulative mortalities of less than 10; some were less than 5. A time lag between temperature wave and mortality wave of up to 20 days was allowed.

Results

Table 1 provides basic statistics for the six categories of mortality studied. As Table 1 shows, the greater the average number of deaths per day, the smaller the relative standard deviation of the corresponding distribution.

Table 2 illustrates recently observed trends in regional climate warming in Yakutsk. During the last 50 years, winters in Yakutsk have become milder, and extreme cold temperatures have risen from -50ºC to -45ºC, which greatly reduced the probability of cold spells. During the same period, extreme hot temperatures in the summer increased only by 1ºC. As a recent article points out, no change in summer temperatures has been observed in the nearby Tobolsk region of East Siberia11. Had historic percentiles been used in the definition of cold waves, no cold waves would have been identified during the study period (under the definition provided in the Methods section). Because it was intended to retain as much information about extreme temperature events as possible for further analysis, a decision was made to use current percentiles for the identification of cold spells, instead of historic percentiles. As a result, six heat waves and three cold spells were identified during the 9 year study period in Yakutsk. Table 3 specifies the dates and durations of these temperature waves.

Table 4 summarizes the results of the Tier 1 analysis. The average impact of all heat waves was statistically significant at 95% in only one category of mortality (IHD for ages 30-64 years); the corresponding relative mortality risk was RR=1.42 [1.06; 1.79]. For all non-accidental mortality in the same age group, the impact of all heat waves was significant only at 93%. After excluding heat wave #3 from the test sample, the increase in this category became highly significant (t=2.47; p=0.015; RR=1.27 [1.13; 1.40]). This is the reason for also including this category of mortality in the Tier 2 analysis.

Table 1: Overview of mortality database in Yakutsk: total number of deaths in 1999-2007, mean daily rates and relative standard deviations of daily deaths




Table 2: Comparison of historical and recent distributions of daily mean temperatures in Yakutsk




Table 3: Dates and duration of temperature waves in Yakutsk during the study period




Table 4: Results of Tier 1 analysis: Student's t-tests of the null hypothesis concerning the average impacts of all detected heat waves or cold spells




The results of Table 4 for cold spells should be interpreted with caution, because the number of analyzed cold spells was too small for credible t-statistics; three waves are not sufficient. Indeed, there is sizeable probability that any three randomly selected values are all positive by chance. The proposed method cannot give credible results if the number of temperature waves analyzed is less than five. This requirement is similar to the limits of applicability of z-statistics or χ2 tests. Nevertheless, for uniformity of treatment of heat waves and cold spells, it was decided to use the results of Table 4 for cold spells as input for Tier 2 analysis. Consequently, only four categories of mortality for Tier 2 analysis of cold spells remained, for which p was <0.05 (Table 4). Subsequent Tier 2 hypothesis testing confirmed that this was an appropriate choice.

The results of the Tier 2 analyses of the health impacts of individual temperature waves are summarized (Tables 5 & 6). These tables, unlike Table 4, cannot contain confidence intervals of relative risks, because the χ2 test treats cumulative mortality during each wave as a single value, and does not consider how it was distributed over the days of the wave.

As Table 5 shows, only two of the six heat waves significantly affected mortality from IHD (waves 1 & 5, with corresponding RR 2.0 & 2.4), and three waves significantly affected mortality from all non-accidental causes (waves 1, 4 & 6, with corresponding RR 1.5, 1.4 & 1.5).

All four categories of mortality included in the analysis of cold spells showed statistically significant increases in death rates during at least two of the three cold spells ('at least' because of the conservative assumptions embedded in the χ2 tests). The relative magnitudes of health effects in terms of excess cause-specific mortality were approximately the same for heat and cold.

Table 5: Health impacts of individual heat waves and time lags, which maximize probability of rejection of the null hypothesis




Table 6: Health impacts of individual cold spells and time lags, which maximize probability of rejection of the null hypothesis



Discussion

In this article, the health effects of temperature waves in a small city were estimated. An initial decision was made to purposefully limit the research to long heat waves only. Although the health effects of short heat waves (<9 days) have been documented for big cities, preliminary trials indicated that the methods applied in the present research failed to detect any health effects from short waves in Yakutsk. The size of the population under investigation is quite important, because it determines the overall shape of the distribution of daily deaths and the extent of natural variability of daily deaths, measured by relative standard deviation. For example, the effects of temperature waves on respiratory causes in Yakutsk could not be determined, the average number of daily deaths and associated relative standard deviations were µ=0.16; RSD=2.5 in the age group 30-64 years and µ=0.09; RSD=3.4 in the age group 65 years and over.

Following this a two-tiered research strategy was developed, where the first tier was essentially a screening procedure to factor out those categories of mortality not as responsive to temperature waves as others. The selection criterion was statistical significance of relative increase in mortality, averaged for all detected heat waves or cold spells. This did not mean that the health effects of individual waves might not be observed in those categories factored out during Tier 1. A researcher dealing with a multi-city study, or many sub-categories of mortality, wants to concentrate on categories most likely to display significant health effects. He/she may then appraise the advantages of this strategy. Both tiers have their intrinsic methodological value and may be applied independently. Estimation of the expected health impacts of an average temperature wave may be important from a public health standpoint. Because climate models predict increases in frequency of temperature waves over time, it would be wise to base health effect projections on average measures.

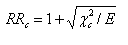
Comparison of Tables 4-6 indicates that the Tier 1 test is somewhat more sensitive than the Tier 2 test (sensitivity is the probability that a statistical test will be positive for a true statistic). Indeed, while RR=1.42 for IHD was statistically significant in Tier 1, RR=2.0 for IHD was not significant in Tier 2 (Table 6, cold wave 3). For all-cause mortality, while RR=1.27 was significant in Tier 1, RR=1.3 was not significant in Tier 2 (Table 5, heat wave 2). Of course, such comparisons are valid only for the same category of mortality. This result is reasonable, because Tier 1 pooled the impact of six heat waves (or three cold spells). As the number of waves included in Tier 1 analysis increases, increasing number of subtle health effects will test positive. In the present study setting, the minimal (or critical) value of relative risk that is statistically significant at Tier 1 is provided by the following equation:

[3]


where:

tc=1.96 is a critical value of a two-tailed Student's t-test with p=0.05 and DF=∞;

RSD is the relative standard deviation of the parent distribution of daily mortality rates from Table 1;

n is the number of heat waves (or cold spells) included in Tier 1 analysis;

w is average duration of a temperature wave; in the study setting w=11. It is noteworthy that Equation [3] illustrates why short heat waves should be excluded from analysis in small cities.

To give the reader the feeling of what to expect from a Tier 1 analysis of a pooled sample of six heat waves in a small city like Yakutsk, RRc=1.40 for IHD mortality and RRc=1.18 for non-accidental mortality in the age group 30-64 years. Smaller relative risks will be factored out during the Tier 1 analysis. Equation [3] shows why relative standard deviation of daily death rates is so important for the sensitivity of Tier 1 tests, which is not the case with Tier 2 analysis. Using Pearson's χ2 test, the critical value of relative increase in deaths during an individual temperature wave was given by the simple expression:

[4a]


RRc is slightly higher using Yates' χ2 test:

[4b]


where:

=3.84 is the critical value of the χ2 test with DF=1 and p=0.05;

E=wYt is the expected cumulative mortality during a given temperature wave, which is the product of the duration of this wave w (measured in days) and the expected daily mortality, given by a seasonal smooth function of mortality Yt.

The power of the χ2 test depends on both the duration of a heat wave w and the seasonal smooth Yt, which differs from one year to another, even for the same calendar dates. As an estimate, average wave duration w=11 may be used, and the daily mean rates from Table 1. Equation [4b] then gives RRc=2.04 for IHD mortality in the age group 30-64 years and RRc=1.43 for all-cause non-accidental mortality in the same age group.

How do these RRc estimates relate to the results of international studies? In a quick literature search of site-specific estimates of relative increases in cardiovascular mortality observed during individual temperature waves, only two articles were found that reported RR close to or above 2.0. The RR=1.98 of cardiovascular mortality among the age group 64 years and over was associated with the 1993 heat wave in Philadelphia12, and RR=2.39 for all-age cardiovascular mortality during a famous Chicago heat wave in 199513. More commonly reported values (>20 were surveyed) were much lower, usually in the range of RR=1.1-1.3. Therefore, the critical value RRc=2.04 appears to be an outlier in the context of international studies.

As the cities located in remote and circumpolar areas are usually quite small, the following question has central importance: what is the minimal population size for which the impacts of individual temperature waves can still be statistically significant? This question can never be answered precisely because there are so many factors that potentially influence the probability of rejection of the null hypothesis, and statistical methods become ever more sophisticated over time. However, Equation [4] can provide some guidance to researchers who study small populations. In the light of the present study's findings, it seems that Yakutsk is not far above this minimum size. It is hoped that new site-specific studies in Arctic cities may help us learn more about health responses under very harsh climates and extreme weather conditions.

Conclusions

Analysis of the impacts of six heat waves and three cold spells provided convincing evidence that cardiovascular and non-accidental mortalities do increase in Yakutsk during both extreme heat and extreme cold weather events. More than two-fold increases in IHD mortality during two heat waves were observed, while mortality from all non-accidental causes increased by approximately 50% during three heat waves. All these increases were observed only in the age group 30-64 years. Analysis of individual impacts of the three cold spells identified during the study period, produced an even greater number of statistically significant results in terms of increases in cause- and age-specific mortality rates. The IHD mortality increased more than two-fold in both age groups during two cold spells, while CVD mortality and mortality from all non-accidental causes increased only in the age group 65 years and over. Per one wave analyzed, cold spells produced more cause- and age-specific health effects than heat waves. Thus, cold spells seem to be more potent in terms of their health burden; however, they are less frequent than heat waves.

Estimates showed that almost all the increase in total non-accidental morality during temperature waves should be attributed to cardiovascular deaths. This contradicts the conclusion of Huynen et al7, who estimated this proportion (for heat-related deaths) to be only 30%.

Time lags of the most significant health responses varied between 8 and 14 days, indicating that the health impacts of both heat waves and cold spells were postponed, rather than immediate. This finding agrees with the results of a Czech study, where the lags of the strongest links between cold spells and mortality varied between 2 and 11 days10. This conclusion could be important for public health authorities, because it alerts them to expect elevated mortality and to plan for emergency health protection measures at least for 2 weeks after a temperature wave subsides.

Acknowledgements

The authors thank Vadim Ozheredov from the Space Research Institute for consultations on the statistical methods, and Alexei Fedotov from Moscow Institute of Physics and Technology for help with processing the raw mortality database. The authors also thank Roman Ignatov from the Federal Service for Hydrometeorology and Environmental Monitoring, who helped them access meteorological data and commented on the quality and structure of these data. The Institute of Demography of Higher School of Economics provided mortality data for this research. The authors are indebted to the anonymous reviewers whose comments helped them to improve the original manuscript.

References

1. Solomon S, Qin D, Manning M, Chen Z, Marquis M, Averyt K et al (Eds). Climate change 2007: the physical science basis. Contribution of Working Group I to the Fourth Assessment Report of the Intergovernmental Panel on Climate Change. Cambridge: Cambridge University Press, 2007.

2. Federal Service for Hydrometeorology and Environmental Monitoring. Assessment report on climate change and its consequences in Russian Federation. General summary. Moscow: Roshyromet, 2008.

3. McGeehin MA, Mirabelli M. The potential impacts of climate variability and change on temperature-related morbidity and mortality in the United States. Environmental Health Perspectives 2001; 109(2): 185-189.

4. Poumadère M, Mays C, Le Mer S, Blong R. The 2003 heat wave in France: dangerous climate change here and now. Risk Analysis 2005; 25(6): 1483-1494.

5. Johnson H, Kovats R, McGregor G, Stedman J, Gibbs M, Walton H et al. The impact of the 2003 heat wave on mortality and hospital admissions in England. Health Statistics Quarterly 2005; 25: 6-12.

6. Revich B, Shaposhnikov D. Excess mortality during heat waves and cold spells in Moscow, Russia. Occupational and Environmental Medicine 2008; 65(10): 691-696.

7. Huynen M, Martens P, Schram D, Weijenberg M, Kunst A. The impact of heat waves and cold spells on mortality rates in the Dutch population. Environmental Health Perspectives 2001; 109(5): 463-470.

8. Revich B, Shaposhnikov D. The effects of particulate and ozone pollution on mortality in Moscow. Air Quality, Atmosphere and Health. (Online) 2009. Available: http://www.springerlink.com/content/p41327l5031784v5/ (Accessed 28 March 2010).

9. Muggeo V, Hajat S. Modelling the non-linear multiple-lag effects of ambient temperature on mortality in Santiago and Palermo: a constrained distributed lag approach. Occupational and Environmental Medicine 2009; 66: 584-591.

10. Kysely J, Pokorna L, Kyncl J, Kriz B. Excess cardiovascular mortality associated with cold spells in the Czech Republic. BMC Public Health 2009; 9: 19.

11. Kabanov M. Seasonal regularities in the observed warming in Siberia. Atmospheric and Oceanic Optics 2009; 22(1): 108-112.

12. Wainwright SH, Buchanan SD, Mainzer HM, Parrish RG, Sinks TH. Cardiovascular mortality--the hidden peril of heat waves. Prehospital Disaster Medicine 1999; 14(4): 222-231.

13. Kaiser R, Le Tertre A, Schwartz J, Gotway CA, Daley WR, Rubin CH. The effect of the 1995 heat wave in Chicago on all-cause and cause-specific mortality. American Journal of Public Health 2007; 97: 58-162.
This PDF has been produced for your convenience. Always refer to the live site https://www.rrh.org.au/journal/article/1338 for the Version of Record.